有关1000kV绝缘工具冲击耐受电压的试验方法,3min工频耐压试验电压,500kV预试试验电压,330kV型式(出厂)试验电压,绝缘工具在3min工频耐压过程中无闪络、击穿或发热则为合格。
330~1000kV绝缘工具冲击耐受电压试验过程
规程规定330、500kV绝缘承力工具应进行3min工频耐压和15次操作冲击耐受电压试验。
3min工频耐压试验电压为:

公式中:
Uxg:系统运行最高相电压(有效值);
K0:系统工频过电压倍数(取1.5倍);
K1:安全裕度系数取1.1;
K2:海拔修正系数,1000m高度时取0.91;
K3:型式(出厂)实验系数取1.1,预防性试验取1.0。
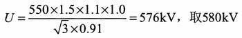
如550kV型式(出厂)试验电压:

500kV预试试验电压:

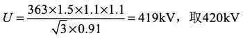
330kV型式(出厂)试验电压:

330kV预设试验电压:

绝缘工具在3min工频耐压过程中无闪络、击穿或发热则为合格。
操作冲击试验电压为:

式中:K0:过电压倍数,500kV取2.18、330kV取2.5;K1:安全裕度系数,型式(出厂)试验取1.1、预防性试验取1.0。
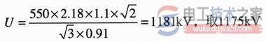
如500kV操作冲击耐受电压型式试验:

330kV操作冲击耐受电压型式试验:

操作冲击耐压应采用正极性,250/2500μs的标准波耐受15次,以无一次击穿、闪络为合格。